
| Navigation Bar Placeholder |



| The Cosmos' Masterpeace System Structures (Places Where Masterpeace Services Are Organized/Despensed & Maintained) Presents |
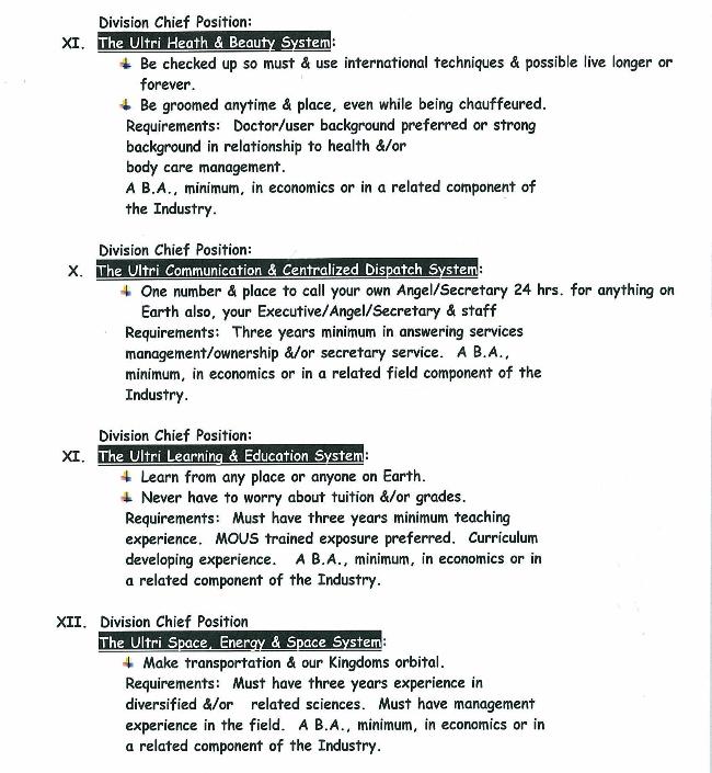
| operating in that position...A B.A...minimum in economic or a related component of the industry |
| operating in that position..A B.A...minmum in economic or a related component of the industry |